Skip to contents

Visualizes the survival, hazard, or cumulative hazard function of a DFR distribution. Optionally overlays empirical estimates from data.

Usage

# S3 method for class 'dfr_dist'
plot(
  x,
  data = NULL,
  par = NULL,
  what = c("survival", "hazard", "cumhaz"),
  xlim = NULL,
  n = 200,
  add = FALSE,
  col = "black",
  lwd = 2,
  empirical = TRUE,
  empirical_col = "steelblue",
  ...
)

Arguments

x

A dfr_dist object

data

Optional data frame with survival data for empirical overlay

par

Parameter vector. If NULL, uses object's stored parameters.

what

Which function to plot:

"survival"

S(t) = exp(-H(t))

"hazard"

h(t) - instantaneous failure rate

"cumhaz"

H(t) - cumulative hazard

xlim

x-axis limits. If NULL, determined from data or defaults to c(0, 10).

n

Number of points for smooth curve (default 200)

add

If TRUE, add to existing plot

col

Line color for theoretical curve

lwd

Line width for theoretical curve

empirical

If TRUE and data provided, overlay Kaplan-Meier estimate

empirical_col

Color for empirical curve

...

Additional arguments passed to plot()

Value

Invisibly returns the plotted values as a list with elements t (time points) and y (function values).

Details

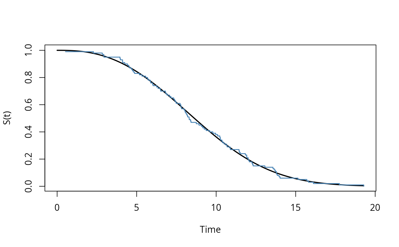
When empirical = TRUE and data is provided, overlays:

  • For survival: Kaplan-Meier estimate (step function)

  • For cumhaz: Nelson-Aalen estimate (step function)

  • For hazard: Kernel-smoothed hazard estimate

Examples

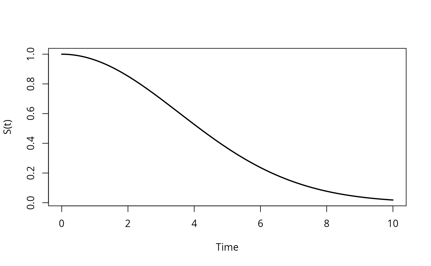
# Plot survival function for Weibull distribution
weib <- dfr_weibull(shape = 2, scale = 5)
plot(weib, what = "survival", xlim = c(0, 10))


# Overlay hazard functions for different shapes
plot(weib, what = "hazard", xlim = c(0, 10), col = "blue")
weib_k1 <- dfr_weibull(shape = 1, scale = 5)  # Exponential
plot(weib_k1, what = "hazard", add = TRUE, col = "green")
weib_k3 <- dfr_weibull(shape = 3, scale = 5)  # Steeper wear-out
plot(weib_k3, what = "hazard", add = TRUE, col = "red")
legend("topleft", c("k=2", "k=1 (exp)", "k=3"),
       col = c("blue", "green", "red"), lwd = 2)


# Compare fitted model to data
set.seed(123)
true_weib <- dfr_weibull(shape = 2.5, scale = 10)
sim_data <- data.frame(t = sampler(true_weib)(100), delta = 1)
solver <- fit(dfr_weibull())
result <- solver(sim_data, par = c(2, 8))
fitted_weib <- dfr_weibull(shape = coef(result)[1], scale = coef(result)[2])
plot(fitted_weib, data = sim_data, what = "survival",
     xlim = c(0, max(sim_data$t)), empirical = TRUE)