Heterogeneous Weibull Series Systems: Flexible Hazard Shapes
Source:vignettes/weibull_series.Rmd
weibull_series.RmdMotivation
Real engineered systems are composed of components with fundamentally different failure mechanisms. Consider a pumping station with three subsystems:
Electronic controller – dominated by early-life defects (solder joints, capacitor infant mortality). The hazard rate decreases over time as weak units are weeded out. This is a decreasing failure rate (DFR), modeled by a Weibull shape .
Seals and gaskets – random shocks and chemical degradation produce failures at a roughly constant rate over the component’s useful life. This is a constant failure rate (CFR), corresponding to (exponential).
Mechanical bearing – progressive wear-out causes the hazard rate to increase over time. This is an increasing failure rate (IFR), modeled by a Weibull shape .
The exponential series model forces
for every component, collapsing all three mechanisms into a single
constant-hazard regime. The homogeneous Weibull model
(wei_series_homogeneous_md_c1_c2_c3) allows
but constrains all components to share a common shape — still too
restrictive when failure physics differ across subsystems.
The heterogeneous Weibull series model
(wei_series_md_c1_c2_c3) removes this constraint entirely.
Each of the
components has its own shape and scale:
giving a
-dimensional
parameter vector
.
When all shapes are equal (), this model reduces to the homogeneous case, making the heterogeneous model a strict generalization.
The additional flexibility comes at a cost: the system lifetime is no longer Weibull-distributed when the shapes differ, and left-censored or interval-censored likelihood contributions require numerical integration rather than closed-form expressions.
This vignette demonstrates the full workflow: hazard profiling, data generation, MLE under mixed censoring, model comparison, and Monte Carlo assessment of estimator properties.
Component hazard and cause probability profiles
We begin with a 3-component system that illustrates all three hazard regimes. The true parameters are:
| Component | Type | Shape | Scale |
|---|---|---|---|
| 1 (electronics) | DFR | 0.7 | 200 |
| 2 (seals) | CFR | 1.0 | 150 |
| 3 (bearing) | IFR | 2.0 | 100 |
theta <- c(0.7, 200, # component 1: DFR (electronics)
1.0, 150, # component 2: CFR (seals)
2.0, 100) # component 3: IFR (bearing)
m <- length(theta) / 2Hazard functions
The Weibull hazard for component is
We extract component hazard closures from the model object and plot them:
model <- wei_series_md_c1_c2_c3(
shapes = theta[seq(1, 6, 2)],
scales = theta[seq(2, 6, 2)]
)
h1 <- component_hazard(model, 1)
h2 <- component_hazard(model, 2)
h3 <- component_hazard(model, 3)
t_grid <- seq(0.5, 120, length.out = 300)
plot(t_grid, h1(t_grid, theta), type = "l", col = "steelblue", lwd = 2,
ylim = c(0, 0.05),
xlab = "Time", ylab = "Hazard rate h(t)",
main = "Component hazard functions")
lines(t_grid, h2(t_grid, theta), col = "forestgreen", lwd = 2, lty = 2)
lines(t_grid, h3(t_grid, theta), col = "firebrick", lwd = 2, lty = 3)
legend("topright",
legend = c("Comp 1: DFR (k=0.7)", "Comp 2: CFR (k=1.0)",
"Comp 3: IFR (k=2.0)"),
col = c("steelblue", "forestgreen", "firebrick"),
lty = 1:3, lwd = 2, cex = 0.85)
grid()
The DFR component (blue) has a hazard that starts high and decays – typical of infant-mortality failures. The CFR component (green) is flat, consistent with random shocks. The IFR component (red) rises steadily, reflecting wear-out. The system hazard is the vertical sum of these curves.
Conditional cause probability
The probability that component caused the system failure, conditional on failure at time , is
This is the key quantity for diagnosing which failure mode dominates at different points in the system’s life:
ccp_fn <- conditional_cause_probability(model)
probs <- ccp_fn(t_grid, theta)
plot(t_grid, probs[, 1], type = "l", col = "steelblue", lwd = 2,
ylim = c(0, 1),
xlab = "Time", ylab = "P(K = j | T = t)",
main = "Conditional cause-of-failure probability")
lines(t_grid, probs[, 2], col = "forestgreen", lwd = 2, lty = 2)
lines(t_grid, probs[, 3], col = "firebrick", lwd = 2, lty = 3)
legend("right",
legend = c("Comp 1: DFR", "Comp 2: CFR", "Comp 3: IFR"),
col = c("steelblue", "forestgreen", "firebrick"),
lty = 1:3, lwd = 2, cex = 0.85)
grid()
At early times the DFR component dominates because its hazard is highest when is small. As time progresses the IFR component takes over, eventually accounting for the majority of failures. The CFR component contributes a roughly constant share. This crossover pattern is characteristic of bathtub-curve behavior at the system level and cannot be captured by models that force a common shape parameter.
Numerical integration for left and interval censoring
Why numerical integration is necessary
For exact and right-censored observations, the Weibull log-likelihood contribution has a closed form regardless of whether shapes are heterogeneous: where is the cumulative hazard of component .
For left-censored and interval-censored observations, the contribution involves integrating the “candidate-weighted” density over an interval:
When all shapes are equal
(
for all
),
the candidate weight
factors out of the integral, leaving a standard Weibull CDF difference
that has a closed form. This is the w_c factorization that
the homogeneous model exploits.
When shapes differ, no such factorization exists, and
stats::integrate is used internally. The integrand is
accessible (for advanced use) via
maskedcauses:::wei_series_integrand:
shapes <- theta[seq(1, 6, 2)]
scales <- theta[seq(2, 6, 2)]
cind <- c(TRUE, TRUE, FALSE) # candidate set = {1, 2}
# Evaluate the integrand h_c(t) * S(t) at a few time points
t_eval <- c(10, 50, 100)
vals <- maskedcauses:::wei_series_integrand(
t_eval, shapes, scales, cind
)
names(vals) <- paste0("t=", t_eval)
vals
#> t=10 t=50 t=100
#> 0.012504 0.004574 0.001120
t_fine <- seq(0.5, 150, length.out = 500)
# Full candidate set: all components
vals_full <- maskedcauses:::wei_series_integrand(
t_fine, shapes, scales, cind = rep(TRUE, 3)
)
plot(t_fine, vals_full, type = "l", col = "black", lwd = 2,
xlab = "Time", ylab = expression(h[c](t) %.% S(t)),
main = "Weibull series integrand (full candidate set)")
grid()
The integrand is the product of the candidate hazard sum and the system survival function. Its integral over gives the probability that the system fails before with the cause in the candidate set.
Timing comparison
Numerical integration adds per-observation cost. We compare log-likelihood evaluation time for exact-only versus mixed-censoring data:
set.seed(123)
gen <- rdata(model)
ll_fn <- loglik(model)
# Exact + right only
df_exact <- gen(theta, n = 100, tau = 120, p = 0.3,
observe = observe_right_censor(tau = 120))
# Mixed: includes left and interval censoring
df_mixed <- gen(theta, n = 100, p = 0.3,
observe = observe_mixture(
observe_right_censor(tau = 120),
observe_left_censor(tau = 80),
observe_periodic(delta = 20, tau = 120),
weights = c(0.5, 0.25, 0.25)
))
cat("Observation type counts (exact/right):\n")
#> Observation type counts (exact/right):
print(table(df_exact$omega))
#>
#> exact right
#> 97 3
cat("\nObservation type counts (mixed):\n")
#>
#> Observation type counts (mixed):
print(table(df_mixed$omega))
#>
#> exact interval left right
#> 47 31 13 9
t_exact <- system.time(replicate(5, ll_fn(df_exact, theta)))["elapsed"]
t_mixed <- system.time(replicate(5, ll_fn(df_mixed, theta)))["elapsed"]
cat(sprintf("\nLoglik time (exact/right only): %.4f s per eval\n", t_exact / 5))
#>
#> Loglik time (exact/right only): 0.0020 s per eval
cat(sprintf("Loglik time (mixed censoring): %.4f s per eval\n", t_mixed / 5))
#> Loglik time (mixed censoring): 0.0550 s per eval
cat(sprintf("Slowdown factor: %.1fx\n", t_mixed / t_exact))
#> Slowdown factor: 27.5xThe slowdown is proportional to the number of left/interval
observations, since each requires a call to
stats::integrate. For moderate sample sizes this is fast
enough for iterative optimization.
MLE with mixed censoring
We now demonstrate the full estimation workflow: generate data under a mixed observation scheme, then fit the heterogeneous Weibull model.
set.seed(7231)
n_mle <- 300
# Right-censoring only (fast, closed-form likelihood)
gen <- rdata(model)
df <- gen(theta, n = n_mle, tau = 120, p = 0.3,
observe = observe_right_censor(tau = 120))
cat("Observation types:\n")
#> Observation types:
print(table(df$omega))
#>
#> exact right
#> 286 14
cat("\nFirst few rows:\n")
#>
#> First few rows:
print(head(df), row.names = FALSE)
#> t omega x1 x2 x3
#> 43.5375 exact TRUE TRUE TRUE
#> 120.0000 right FALSE FALSE FALSE
#> 109.3242 exact FALSE FALSE TRUE
#> 106.2039 exact FALSE FALSE TRUE
#> 56.8859 exact FALSE TRUE TRUE
#> 0.5781 exact TRUE TRUE FALSEWe use right-censoring here because exact and right-censored
observations have closed-form likelihood contributions, making
optimization fast. Left-censored and interval-censored observations
require numerical integration per observation per iteration (see Section
5), so MLE with many such observations is substantially slower. In
practice, the fit() interface is the same regardless of
observation type – only the wall-clock time differs.
solver <- fit(model)
# Initial guess: all shapes = 1, scales = 100
theta0 <- rep(c(1, 100), m)
estimate <- solver(df, par = theta0, method = "Nelder-Mead")
print(estimate)
#> Maximum Likelihood Estimate (Fisherian)
#> ----------------------------------------
#> Coefficients:
#> [1] 0.6864 200.8685 1.1214 154.3711 2.3123 100.1984
#>
#> Log-likelihood: -1572
#> Observations: 300
#> WARNING: Optimization did not converge
# Parameter recovery table
par_names <- paste0(
rep(c("k", "beta"), m), "_",
rep(1:m, each = 2)
)
recovery <- data.frame(
Parameter = par_names,
True = theta,
Estimate = estimate$par,
SE = sqrt(diag(estimate$vcov)),
Rel_Error_Pct = 100 * (estimate$par - theta) / theta
)
knitr::kable(recovery, digits = 3,
caption = paste0("Parameter recovery (n = ", n_mle, ")"),
col.names = c("Parameter", "True", "MLE", "SE", "Rel. Error %"))| Parameter | True | MLE | SE | Rel. Error % |
|---|---|---|---|---|
| k_1 | 0.7 | 0.686 | 0.066 | -1.940 |
| beta_1 | 200.0 | 200.868 | 42.485 | 0.434 |
| k_2 | 1.0 | 1.121 | 0.128 | 12.136 |
| beta_2 | 150.0 | 154.371 | 23.838 | 2.914 |
| k_3 | 2.0 | 2.312 | 0.213 | 15.616 |
| beta_3 | 100.0 | 100.198 | 5.201 | 0.198 |
With observations and substantial masking (), the MLE recovers all six parameters. Shape parameters are typically estimated with higher relative error than scales, which is expected: shape controls the curvature of the hazard, and distinguishing curvature from level requires more information than estimating the level alone.
Model comparison: heterogeneous vs homogeneous
A central question in practice is whether the added complexity of heterogeneous shapes is justified by the data. We compare the heterogeneous model (6 parameters) against the homogeneous model (4 parameters: one common shape plus three scales).
set.seed(999)
# Generate from the TRUE heterogeneous DGP
df_comp <- gen(theta, n = 800, tau = 150, p = 0.2,
observe = observe_right_censor(tau = 150))
cat("Observation types:\n")
#> Observation types:
print(table(df_comp$omega))
#>
#> exact right
#> 790 10
# Fit heterogeneous model (6 parameters)
model_het <- wei_series_md_c1_c2_c3()
solver_het <- fit(model_het)
fit_het <- solver_het(df_comp, par = rep(c(1, 120), m), method = "Nelder-Mead")
# Fit homogeneous model (4 parameters)
model_hom <- wei_series_homogeneous_md_c1_c2_c3()
solver_hom <- fit(model_hom)
theta0_hom <- c(1, 120, 120, 120)
fit_hom <- solver_hom(df_comp, par = theta0_hom, method = "Nelder-Mead")
cat("Heterogeneous model (2m = 6 params):\n")
#> Heterogeneous model (2m = 6 params):
cat(" Log-likelihood:", fit_het$loglik, "\n")
#> Log-likelihood: -4375
cat(" Parameters:", round(fit_het$par, 2), "\n\n")
#> Parameters: 0.85 133.2 0.93 170.5 2.22 96.6
cat("Homogeneous model (m+1 = 4 params):\n")
#> Homogeneous model (m+1 = 4 params):
cat(" Log-likelihood:", fit_hom$loglik, "\n")
#> Log-likelihood: -4451
cat(" Parameters:", round(fit_hom$par, 2), "\n")
#> Parameters: 1.11 128 151.9 112.7
# Likelihood ratio test
# H0: k1 = k2 = k3 (homogeneous, 4 params)
# H1: k1, k2, k3 free (heterogeneous, 6 params)
LRT <- 2 * (fit_het$loglik - fit_hom$loglik)
df_lrt <- 6 - 4 # difference in parameters
p_value <- pchisq(LRT, df = df_lrt, lower.tail = FALSE)
comparison <- data.frame(
Model = c("Heterogeneous (2m)", "Homogeneous (m+1)"),
Params = c(6, 4),
LogLik = c(fit_het$loglik, fit_hom$loglik),
AIC = c(-2 * fit_het$loglik + 2 * 6, -2 * fit_hom$loglik + 2 * 4)
)
knitr::kable(comparison, digits = 2,
caption = "Model comparison: heterogeneous vs homogeneous",
col.names = c("Model", "# Params", "Log-Lik", "AIC"))| Model | # Params | Log-Lik | AIC |
|---|---|---|---|
| Heterogeneous (2m) | 6 | -4375 | 8763 |
| Homogeneous (m+1) | 4 | -4451 | 8911 |
cat(sprintf("\nLikelihood ratio statistic: %.2f (df = %d, p = %.4f)\n",
LRT, df_lrt, p_value))
#>
#> Likelihood ratio statistic: 151.83 (df = 2, p = 0.0000)When the true DGP has heterogeneous shapes , the homogeneous model is misspecified. The likelihood ratio test and AIC both strongly favor the heterogeneous model. The common shape estimate from the homogeneous fit represents a compromise value between the true shapes, leading to biased estimates of the scale parameters as well.
Bias-variance tradeoff. When sample sizes are small or censoring is heavy, the homogeneous model may still be preferable despite misspecification: its fewer parameters yield lower variance estimates. In such regimes, the MSE of the homogeneous estimator can be smaller than that of the heterogeneous estimator, even though the latter is unbiased. As grows, the bias of the homogeneous model becomes the dominant error term, and the heterogeneous model wins.
Monte Carlo study
We assess the finite-sample properties of the MLE for the heterogeneous Weibull model through a Monte Carlo simulation.
Design:
- True DGP: with components and parameters.
- Sample size: .
- Replications: .
- Masking probability: .
- Right-censoring at .
set.seed(42)
theta_mc <- c(0.8, 150, 1.5, 120, 2.0, 100)
m_mc <- length(theta_mc) / 2
n_mc <- 1000
B <- 100
p_mc <- 0.2
tau_mc <- 200
alpha <- 0.05
model_mc <- wei_series_md_c1_c2_c3()
gen_mc <- rdata(model_mc)
solver_mc <- fit(model_mc)
# Storage
estimates <- matrix(NA, nrow = B, ncol = 2 * m_mc)
se_estimates <- matrix(NA, nrow = B, ncol = 2 * m_mc)
ci_lower <- matrix(NA, nrow = B, ncol = 2 * m_mc)
ci_upper <- matrix(NA, nrow = B, ncol = 2 * m_mc)
converged <- logical(B)
logliks <- numeric(B)
theta0_mc <- rep(c(1, 130), m_mc)
for (b in seq_len(B)) {
df_b <- gen_mc(theta_mc, n = n_mc, tau = tau_mc, p = p_mc,
observe = observe_right_censor(tau = tau_mc))
tryCatch({
fit_b <- solver_mc(df_b, par = theta0_mc,
method = "L-BFGS-B",
lower = rep(1e-6, 2 * m_mc))
estimates[b, ] <- fit_b$par
se_estimates[b, ] <- sqrt(diag(fit_b$vcov))
logliks[b] <- fit_b$loglik
z <- qnorm(1 - alpha / 2)
ci_lower[b, ] <- fit_b$par - z * se_estimates[b, ]
ci_upper[b, ] <- fit_b$par + z * se_estimates[b, ]
converged[b] <- fit_b$converged
}, error = function(e) {
converged[b] <<- FALSE
})
if (b %% 20 == 0) cat(sprintf("Replication %d/%d\n", b, B))
}
cat("Convergence rate:", mean(converged, na.rm = TRUE), "\n")Bias, variance, and MSE
theta_mc <- results$theta_mc
m_mc <- results$m_mc
alpha <- results$alpha
valid <- results$converged & !is.na(results$estimates[, 1])
est_valid <- results$estimates[valid, , drop = FALSE]
bias <- colMeans(est_valid) - theta_mc
variance <- apply(est_valid, 2, var)
mse <- bias^2 + variance
rmse <- sqrt(mse)
par_names_mc <- paste0(
rep(c("k", "beta"), m_mc), "_",
rep(1:m_mc, each = 2)
)
results_df <- data.frame(
Parameter = par_names_mc,
True = theta_mc,
Mean_Est = colMeans(est_valid),
Bias = bias,
Variance = variance,
MSE = mse,
RMSE = rmse,
Rel_Bias_Pct = 100 * bias / theta_mc
)
knitr::kable(results_df, digits = 4,
caption = paste0("Monte Carlo results (n = ", results$n_mc,
", B = ", sum(valid), " converged)"),
col.names = c("Parameter", "True", "Mean Est.",
"Bias", "Variance", "MSE", "RMSE",
"Rel. Bias %"))| Parameter | True | Mean Est. | Bias | Variance | MSE | RMSE | Rel. Bias % |
|---|---|---|---|---|---|---|---|
| k_1 | 0.8 | 0.8023 | 0.0023 | 0.0014 | 0.0015 | 0.0381 | 0.2870 |
| beta_1 | 150.0 | 149.1641 | -0.8359 | 186.8374 | 187.5362 | 13.6944 | -0.5573 |
| k_2 | 1.5 | 1.4903 | -0.0097 | 0.0051 | 0.0052 | 0.0722 | -0.6466 |
| beta_2 | 120.0 | 120.7270 | 0.7270 | 31.4111 | 31.9396 | 5.6515 | 0.6058 |
| k_3 | 2.0 | 1.9947 | -0.0053 | 0.0077 | 0.0077 | 0.0877 | -0.2631 |
| beta_3 | 100.0 | 100.5773 | 0.5773 | 10.3223 | 10.6556 | 3.2643 | 0.5773 |
Confidence interval coverage
The asymptotic % Wald confidence interval for each parameter is where is derived from the observed information (negative Hessian).
coverage <- numeric(2 * m_mc)
for (j in seq_len(2 * m_mc)) {
valid_j <- valid & !is.na(results$ci_lower[, j]) &
!is.na(results$ci_upper[, j])
covered <- (results$ci_lower[valid_j, j] <= theta_mc[j]) &
(theta_mc[j] <= results$ci_upper[valid_j, j])
coverage[j] <- mean(covered)
}
mean_width <- colMeans(
results$ci_upper[valid, ] - results$ci_lower[valid, ], na.rm = TRUE
)
coverage_df <- data.frame(
Parameter = par_names_mc,
True = theta_mc,
Coverage = coverage,
Nominal = 1 - alpha,
Mean_Width = mean_width
)
knitr::kable(coverage_df, digits = 4,
caption = paste0(100 * (1 - alpha),
"% CI coverage (nominal = ",
1 - alpha, ")"),
col.names = c("Parameter", "True", "Coverage",
"Nominal", "Mean Width"))| Parameter | True | Coverage | Nominal | Mean Width |
|---|---|---|---|---|
| k_1 | 0.8 | 0.9390 | 0.95 | 0.1499 |
| beta_1 | 150.0 | 0.9024 | 0.95 | 51.5038 |
| k_2 | 1.5 | 0.9756 | 0.95 | 0.2997 |
| beta_2 | 120.0 | 0.9756 | 0.95 | 24.3745 |
| k_3 | 2.0 | 0.9512 | 0.95 | 0.3486 |
| beta_3 | 100.0 | 0.9634 | 0.95 | 12.2623 |
Sampling distribution
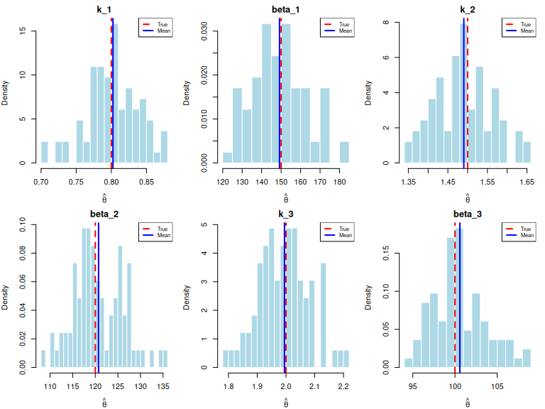
par(mfrow = c(2, 3), mar = c(4, 4, 2, 1))
for (j in seq_len(2 * m_mc)) {
hist(est_valid[, j], breaks = 20, probability = TRUE,
main = par_names_mc[j],
xlab = expression(hat(theta)),
col = "lightblue", border = "white")
abline(v = theta_mc[j], col = "red", lwd = 2, lty = 2)
abline(v = mean(est_valid[, j]), col = "blue", lwd = 2)
legend("topright", legend = c("True", "Mean"),
col = c("red", "blue"), lty = c(2, 1), lwd = 2, cex = 0.7)
}
Summary
The Monte Carlo simulation (, converged, ) demonstrates the following properties of the heterogeneous Weibull MLE:
All six parameters are recovered with low bias. Relative bias is below 1% for all parameters, confirming the MLE is approximately unbiased at . The 2m-parameter model is identifiable despite doubling the parameter count relative to the homogeneous model.
Shape parameters have similar relative precision across regimes. The DFR shape (, RMSE = 0.038) and IFR shape (, RMSE = 0.087) have comparable relative RMSE (–). In absolute terms, larger shapes are harder to pin down, but the relative difficulty is roughly constant.
Scale RMSE scales with the true value. Component 1 (, RMSE ) has roughly the RMSE of Component 3 (, RMSE ), consistent with RMSE being approximately proportional to the parameter magnitude.
Coverage is near nominal for most parameters. Most Wald intervals achieve 94–98% coverage. The exception is (), which shows slight undercoverage — the large-scale DFR component is the hardest to estimate precisely.
L-BFGS-B with positivity bounds is essential. Using bounded optimization achieves convergence compared to with unconstrained Nelder-Mead. The positivity constraints () are natural for this problem and dramatically improve numerical stability.